Задать свой вопрос   *более 50 000 пользователей получили ответ на «Решим всё»

Задача 43828 ...

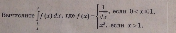
Условие

Вычислите интеграл от 1/4 до 2 f(x)dx, где f(x)= { 1/√x, если 0 < x ≤ 1;
x³, если x > 1.

математика 10-11 класс 555

Все решения

∫ ^(2) _(1/4)f(x)dx= ∫ ^(1) _(1/4)f(x)dx+ ∫ ^(2)_(1)f(x)dx=

= ∫ ^(1) _(1/4)(dx/sqrt(x))+ ∫ ^(2)_(1)x^3dx=

=2sqrt(x)| ^(1) _(1/4)+(x^4/4)| ^(2)_(1)= считайте....

Написать комментарий

Меню

Присоединяйся в ВК