Задать свой вопрос   *более 50 000 пользователей получили ответ на «Решим всё»

Задача 43795 Вычислить пределы функций, не пользуясь...

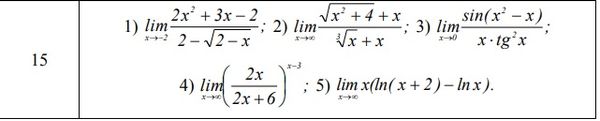
Условие

Вычислить пределы функций, не пользуясь средствами
дифференциального исчисления.

математика ВУЗ 616

Решение

1)
Неопределенность 0/0

Числитель раскладываем на множители:

2x^2+3x-2=(2x-1)(x+2)

Умножаем и числитель и знаменатель на выражение
2+sqrt(2-x)


Получаем:

[m]=\lim_{x \to -2}\frac{(2x-1)(x+2)(2+\sqrt{2-x})}{(2-\sqrt{2-x})(2+\sqrt{2-x})}=[/m]

Применяем формулу разности квадратов a^2-b^2=(a-b)*(a+b)


[m]\lim_{x \to -2}\frac{(2x-1)(x+2)(2+\sqrt{2-x})}{2^2-(\sqrt{2-x})^2}=\lim_{x \to -2}\frac {(2x-1)(x+2)(2+\sqrt{2-x})}{4- (2-x)}=[/m]

[m]=\lim_{x \to -2}\frac {(2x-1)(x+2)(2+\sqrt{2-x})}{x+2}=[/m]

Сокращаем на ( x+2)

[m]=\lim_{x \to -21}(2x-1)(2+\sqrt{2-x})=(2\cdot (-2) -1)(2+\sqrt{2-(-2)})=[/m]

[m]=-5\cdot 2=-10[/m]

2) Неопределенность ( ∞ / ∞ )

Делим и числитель и знаменатель на x


[m]=\lim_{ \to \infty }\frac{\frac{\sqrt{x^2+4}+x}{x}}{\frac{\sqrt[3]{x}+x}{x}}=[/m]


Делим почленно, те каждое слагаемое числителя делим на x и
каждое слагаемое знаменателя делим на x:

[m]\lim_{ \to \infty }\frac{\frac{\sqrt{x^2+4}}{x}+\frac{x}{x}}{\frac{\sqrt[3]{x}}{x}+\frac{x}{x}}[/m]

Применяем свойства корня:

[m]\lim_{\to \infty }\frac{\sqrt{\frac{x^2+4}{x^2}}+1}{\sqrt[3]{\frac{x}{x^3}}+1}=[/m]

[m]\lim_{\to \infty }\frac{\sqrt{1+\frac{4}{x^2}}+1}{\sqrt[3]{\frac{1}{x^2}}+1}=\frac{\sqrt{1+0}+1}{\sqrt{0}+1}=2[/m]


3) Неопределенность (0/0)

Умножаем и числитель и знаменатель на
(x^2-x)*x^2

[m]\lim_{x\to 0 }\frac{sin(x^2-x)\cdot x^2\cdot (x^2-x))}{x\cdot x^2\cdot (x^2-x)\cdot tg^2x}=[/m]


Применяем cвойства первого замечательного предела:

[m]\lim_{x\to 0 }\frac{sin(x^2-x)}{x^2-x}=1[/m]


[m]\lim_{x\to 0 }\frac{x}{tgx}=1[/m]

[m]\lim_{x\to 0 }\frac{x\cdot x}{tgx\cdot tgx}=1[/m]

[m]\lim_{x\to 0 }\frac{sin(x^2-x)}{(x^2-x)}\cdot \frac{x^2}{tg^2x}\cdot\frac{x^2-x}{x^3} =\lim_{x\to 0 }\frac{x\cdot(x-1)}{x^3}=\lim_{x\to 0 }\frac{x-1}{x^2}=-\infty[/m]


Написать комментарий

Меню

Присоединяйся в ВК