Задать свой вопрос
*более 50 000 пользователей получили ответ на «Решим всё»
Задача 43743
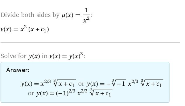
3xy2y'–2y3=x3...
Условие
kibys666
2020-01-27 21:42:19
3xy2y'–2y3=x3
математика
1044
Все решения
slava191
2020-01-28 20:09:01
Написать комментарий
Меню
Решим всё
Найти задачу
Категории
Статьи
Тесты
Архив задач
Присоединяйся в ВК