Задать свой вопрос
*более 50 000 пользователей получили ответ на «Решим всё»
Задача 43719
...
Условие
vk198180422
2020-01-27 15:22:46
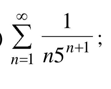
∑ (1/n5^(n+1)) ; n=1 to ∞
предмет не задан
424
Все решения
sova
2020-01-27 18:24:32
Ряд сходится по признаку Даламбера.
lim_(n→∞)a_(n+1)/a_(n)=1/5
Написать комментарий
Меню
Решим всё
Найти задачу
Категории
Статьи
Тесты
Архив задач
Присоединяйся в ВК