Задать свой вопрос   *более 50 000 пользователей получили ответ на «Решим всё»

Задача 43700 Даны координаты вершин пирамиды...

Условие

Даны координаты вершин пирамиды ABCD
Найти:
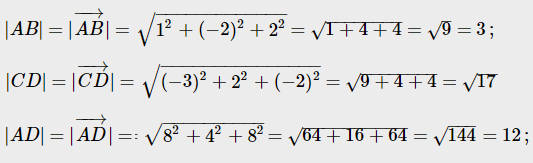
1)Координаты и модули векторов AB,CD,AD
2)Угол между векторами AB и AC
3)Площадь основания ABC
4)Обьём пирамиды ABCD
A(-5;0;1) B(-4;-2;3) C(6;2;11) D(3;4;9)

предмет не задан 1574

Решение

Написать комментарий

Меню

Присоединяйся в ВК