Задать свой вопрос
*более 50 000 пользователей получили ответ на «Решим всё»
Задача 43658
...
Условие
vk279388637
2020-01-24 23:50:20
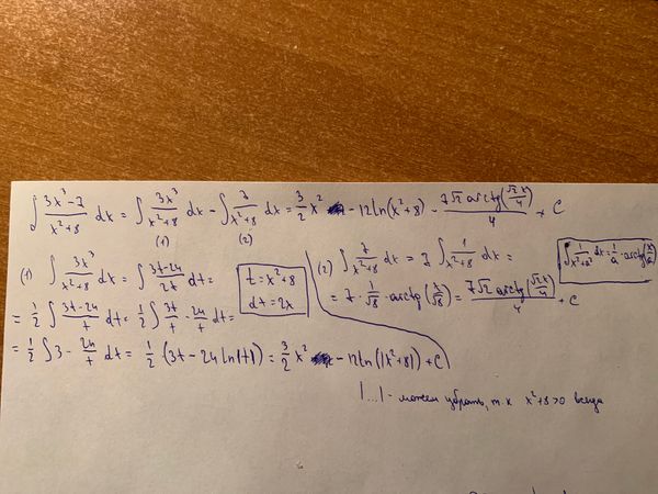
∫ (3x³ - 7) / (x² + 8) dx
предмет не задан
604
Решение
saklethil
2020-01-25 00:22:15
★
Написать комментарий
Меню
Решим всё
Найти задачу
Категории
Статьи
Тесты
Архив задач
Присоединяйся в ВК