Задать свой вопрос   *более 50 000 пользователей получили ответ на «Решим всё»

Задача 43611 32.4. Используя схему Горнера, выполните...

Условие

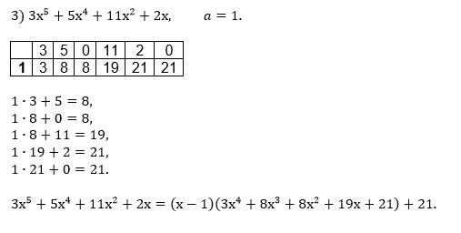
32.4. Используя схему Горнера, выполните деление многочлена [m]P(x)[/m] на двучлен [m](x - a)[/m] и заполните таблицу 20:

математика 10-11 класс 1328

Решение

Написать комментарий

Меню

Присоединяйся в ВК