Задать свой вопрос
*более 50 000 пользователей получили ответ на «Решим всё»
Задача 43588
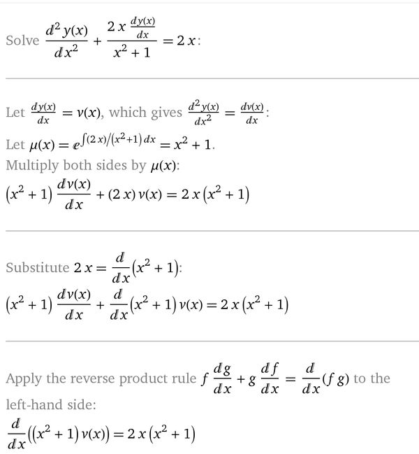
y''+(2x/x^2+1)y'=2x...
Условие
vk418073895
2020-01-22 13:06:10
y''+(2x/x^2+1)y'=2x
предмет не задан
1797
Все решения
slava191
2020-01-22 15:01:16
Написать комментарий
Меню
Решим всё
Найти задачу
Категории
Статьи
Тесты
Архив задач
Присоединяйся в ВК