Задать свой вопрос
*более 50 000 пользователей получили ответ на «Решим всё»
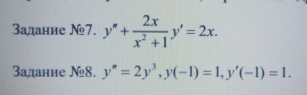
Задача 43587
Здравствуйте. Буду благодарна....
Условие
vk418073895
2020-01-22 12:59:10
Здравствуйте. Буду благодарна.
математика ВУЗ
401
О решение...
На нашем сайте такое бывает редко, но решение к данной задаче еще никто не написал.
Что Вы можете сделать?
Выставите данный вопрос вновь. Перейдите на
главную страницу
.
Найдите похожую задачу. Используйте
поиск
.
Написать комментарий
Меню
Решим всё
Найти задачу
Категории
Статьи
Тесты
Архив задач
Присоединяйся в ВК