Задать свой вопрос   *более 50 000 пользователей получили ответ на «Решим всё»

Задача 43555 Найти частное решение дифференциального...

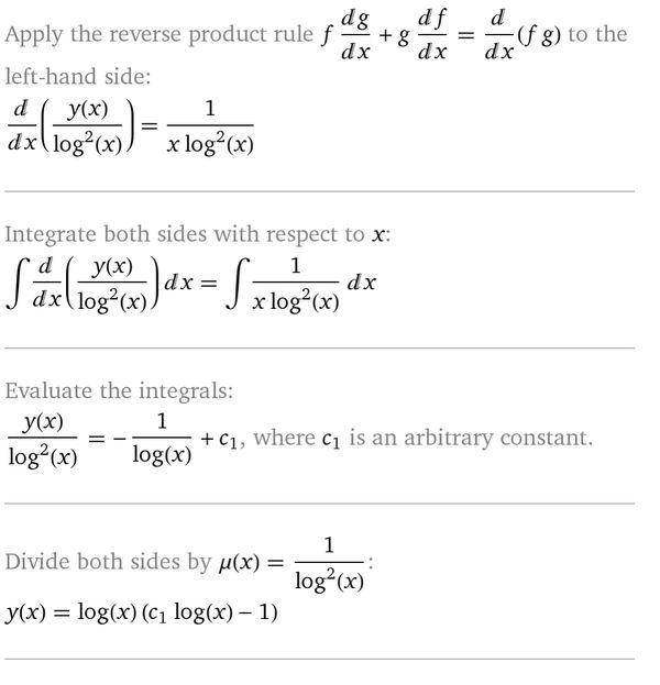
Условие

Найти частное решение дифференциального уравнений,удовлетворяющее начальному условию.
(Xy'-1)lnx=2y, y(e)=0.
Помогите решить пожалуйста

предмет не задан 1126

Решение

Написать комментарий

Меню

Присоединяйся в ВК