Задать свой вопрос   *более 50 000 пользователей получили ответ на «Решим всё»

Задача 43546 ...

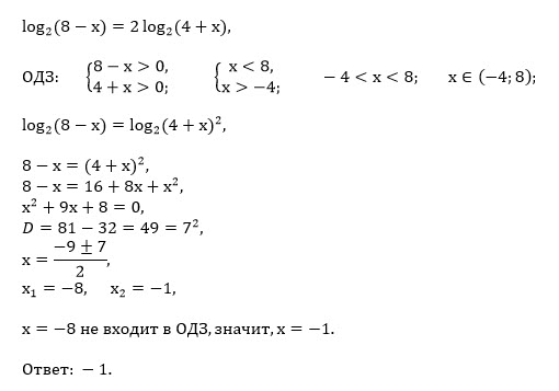
Условие

log₂(8-x) = 2log₂(4+x).

предмет не задан 909

Все решения

Применяем свойство логарифма степени справа налево:
klog_(c)a=log_(c)a^(k)

( cм. фото в приложении)

[i]Уравнение[/i] принимает вид:

[b]log_(2)(8-x)=log_(2)(4+x)^2[/b]

Логарифмическая функция [b]строго монотонна[/b],
это значит, что каждое свое [i]значение[/i] функция
принимает только [i]один раз.[/i]

Поэтому если значения функции равны, то и аргументы равны:

8-x=(4+x)^2

Раскрываем скобки, приводим подобные слагаемые, получаем квадратное уравнение

x^2+9x +8=0

По теореме[i] Виета[/i] находим корни
x_(1)=-1; x_(2)=-8

Обязательно делаем [red]проверку[/red] ( или находим [green]ОДЗ[/green] вначале решения).

Иногда проверку сделать проще, чем решить систему неравенств в ОДЗ.

При x=-1

log_(2) (8-(-1))=2log_(2)(-1+4)

log_(2)9=2log_(2)3- верно,

т.к log_(2)9=log_(2)3^2=2log_(2)3

При x=-8

log_(2)(-8+4) не существует

О т в е т. x=-1

Написать комментарий

Меню

Присоединяйся в ВК