Задать свой вопрос   *более 50 000 пользователей получили ответ на «Решим всё»

Задача 43544 Дана система трех линейных уравнений с...

Условие

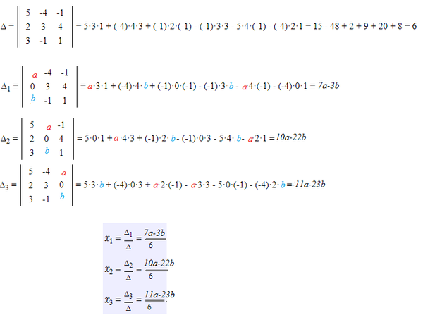
Дана система трех линейных уравнений с тремя неизвестными
1) Решите систему по формулам Крамера;
2) Запишите систему в матричном виде и решить ее матричным способом.

математика ВУЗ 594

Все решения

Написать комментарий

Меню

Присоединяйся в ВК