cos120 ° + cos(-40 °) + cos240 ° + cos(-80 °) + cos200 ° + cos120 °
По свойству четности косинуса
cos(-40 °)=cos40 °
cos(-80 °)=cos80 °
По формулам приведения:
cos120 °=cos(180 °- 60 °)=-cos60 °
cos240 ° =cos(180 °+60 °)=-cos60 °
cos200 ° =cos(180 °+20 °)=-cos20 °
получим:
=-cos60 ° +cos40 ° - cos60 ° +cos80 ° -cos20 ° -cos60 °
так как cos60 ° =0,5
то
=cos40 ° +cos80 ° -cos20 ° -1,5
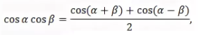
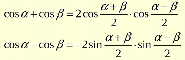
далее формула разности косинусов:
cos80 ° -cos20 °=-2sin50 ° sin30 ° =-2sin50 ° *(0,5)=-sin50 °=-cos40 °
О т в е т. cos40 ° -cos40 ° -1,5=[b]-1,5 [/b]
