Задать свой вопрос   *более 50 000 пользователей получили ответ на «Решим всё»

Задача 43472 ...

Условие

2. Случайные величины ξ и η независимы. Найти среднее квадратичное отклонение случайной величины μ=ξ-2η, если известно, что Dξ=1, Dη=0,5.

математика 3k класс 664

Решение

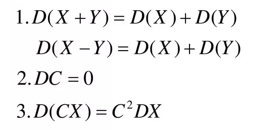
D( μ )=D( ξ -2 η )=D( ξ )+D(-2 η )=D( ξ )+(-2)^2*D( η )=1+4*0,5=1+2=[b]3[/b]

cм свойства дисперсии

Написать комментарий

Меню

Присоединяйся в ВК