Задать свой вопрос
*более 50 000 пользователей получили ответ на «Решим всё»
Задача 43461
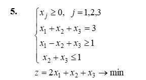
Решить задачу линейного программирования...
Условие
sad_name
2020-01-17 15:59:47
Решить задачу линейного программирования симплексным методом (базисный или двойственный).
математика 3k класс
855
Решение
slava191
2020-01-17 22:12:51
★
Написать комментарий
Меню
Решим всё
Найти задачу
Категории
Статьи
Тесты
Архив задач
Присоединяйся в ВК