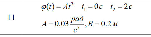
Частица движется по окружности радиуса R. Угол поворота радиус-вектора частицы меняется со временем по закону ()t. Найти число оборотов N, которые частица совершит в интервале времени от 1tдо 2t. Найти модули векторов тангенциального a, нормального naи полного aускорений, а также угол между векторами тангенциального и полного ускорений в момент времени 2

физика ВУЗ
1378