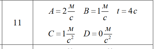
Частица движется равноускоренно в координатной плоскости XY с начальной скоростью v0= Ai + Bj и ускорением a = Ci + Dj . Найти модули векторов скорости v , тангенциального at и нормального an ускорений, а также радиус кривизны траектории R в момент времени t .

физика 10-11 класс
2240