Задать свой вопрос   *более 50 000 пользователей получили ответ на «Решим всё»

Задача 43416 Помогите!!! Срочно ...

Условие

Помогите!!! Срочно

математика ВУЗ 646

Решение

1.
[m]p( \alpha <X<\beta )=F( \beta) -F( \alpha)[/m]

F( β )=F([m]\frac{1}{3})=1-\frac{(\frac{1}{3}-1)^2}{2}=\frac{7}{9}[/m]

F( α )=F([m]-\frac{3}{2}[/m])=0

p([m]-\frac{3}{2}<X<\frac{1}{2})=\frac{7}{9}-0=\frac{7}{9}[/m]

2.

По определению
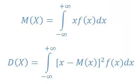
M(X)= ∫ ^(+ ∞ )_(- ∞ )x*f(x)dx

f(x)=F`(x)
[m]f(x)=\left\{\begin{matrix} 0, x\leq -1; x >1\\ (x+1),-1<x\leq 0\\ -(x-1)=1-x,0<x\leq 1 \end{matrix}\right.[/m]

M(X)= ∫ ^(0 )_(- 1 )x(x+1)dx+ ∫ ^(1 )_(0 )x(1-x)dx=

= ∫ ^(0 )_(- 1 )(x^2+x)dx+ ∫ ^(1 )_(0 )(x-x^2)dx=

=[b]([/b](x^3/3)+(x^2/2)[b])[/b]|^(0)_(-1)+[b]([/b](x^2/2)-(x^3/3)[b])[/b]|^(1)_(0)=

=0-((-1/3)+(1/2))+(1/2)-(1/3)-0=[b]0[/b]

Аналогично считаем и D(X)

См. формулы в приложении

Написать комментарий

Меню

Присоединяйся в ВК