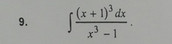
Условие
Интегралы, нужна помощь
п.с. в 11 второй предел интегрирования - pi/2


математика ВУЗ
270
О решение...
На нашем сайте такое бывает редко, но решение к данной задаче еще никто не написал.
Что Вы можете сделать?
- Выставите данный вопрос вновь. Перейдите на главную страницу.
- Найдите похожую задачу. Используйте поиск.
Написать комментарий