Задать свой вопрос   *более 50 000 пользователей получили ответ на «Решим всё»

Задача 43214 3x/x^-4=1 Найдите корень уравнения....

Условие

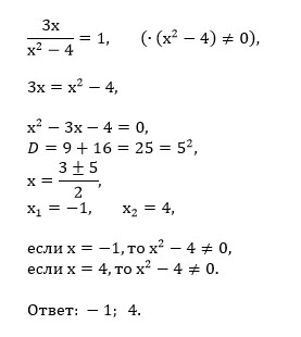
3x/x^-4=1 Найдите корень уравнения.

математика 705

Все решения

[m]\frac{3x}{x-4}=1[/m]

x-4 ≠ 0 ⇒ x ≠ 4

Дробь равна 1, тогда и только тогда когда числитель равен знаменателю
3х=x-4 ⇒ 3х-х=-4 ⇒ 2х=-4 ⇒ [b]х=-2[/b]

Написать комментарий

Меню

Присоединяйся в ВК