Задать свой вопрос
*более 50 000 пользователей получили ответ на «Решим всё»
Задача 43183
...
Условие
uuuu
2019-12-28 20:02:49
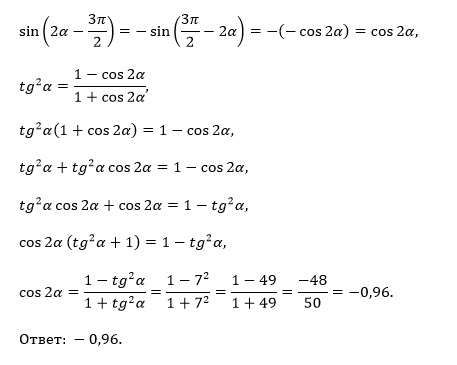
Вычислить sin(2α - 3Pi/2), если tgα = 7
математика 10-11 класс
1333
Решение
Ответ:
-0,96
Решение
u821511235
2019-12-28 22:13:59
★
Написать комментарий
Категория
ЕГЭ по Математике (проф.)
задание 9 (вычислить)
Меню
Решим всё
Найти задачу
Категории
Статьи
Тесты
Архив задач
Присоединяйся в ВК