Задать свой вопрос   *более 50 000 пользователей получили ответ на «Решим всё»

Задача 43170 ...

Условие

Вычислить предел с помощью формулы Тейлора:

lim_(x → 0) (cos^2x-e^(-x^2))/x^4

математика ВУЗ 1251

Все решения

cos^2x=(1+cos2x)/2

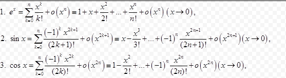
По формуле Тейлора ( см формулы в приложении)

[m]cos2x=1-\frac{(2x)^2}{2!}+\frac{(2x)^4}{4!}+o(x^{4})[/m]

тогда

[m]1+cos2x=2-\frac{(2x)^2}{2!}+\frac{(2x)^4}{4!}+o(x^{4})[/m]

[m]cos^2x=\frac{2-\frac{(2x)^2}{2!}+\frac{(2x)^4}{4!}+o(x^{4})}{2}[/m]

[m]cos^2x=1-\frac{2x^2}{2!}+\frac{2^3x^4}{4!}+o(x^{4})[/m]

[m]e^{-x^2}=1 +(-x^2)+\frac{(-x^2)^2}{2!}+o(x^{4})[/m]

[m]e^{-x^2}=1 -x^2+\frac{x^4}{2!}+o(x^{4})[/m]


[m]\frac{cos^2x-e^{-x^2}}{x^4}=\frac{1-\frac{2x^2}{2!}+\frac{2^3x^4}{4!}-1 +x^2-\frac{x^4}{2!}+o(x^{4})}{x^4}[/m]

[m]\frac{cos^2x-e^{-x^2}}{x^4}=\frac{-\frac{x^4}{6}+o(x^{4})}{x^4}[/m]

Тогда
[m]\lim_{x \to 0 }\frac{cos^2x-e^{-x^2}}{x^4}=\lim_{x \to 0 }\frac{-\frac{x^4}{6}+o(x^{4})}{x^4}=-\frac{1}{6}[/m]

Написать комментарий

Категория

Меню

Присоединяйся в ВК