Задать свой вопрос   *более 50 000 пользователей получили ответ на «Решим всё»

Задача 43153 Вычислить объём тела, образованного...

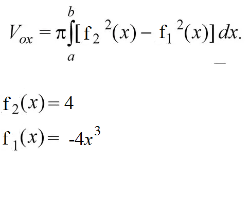
Условие

Вычислить объём тела, образованного вращением вокруг оси
Ox
фигуры, заданной представленными линиями

предмет не задан 1505

Решение

V_(тела вращения)=V_(цилиндра)-V(криволинейного конуса)=

=π ∫ ^(0)_(-1)(4^2- (-4x^3)^2)dx=πR^2*H- 16π ∫ ^(0)_(-1)(x^6)2dx=

=π*4^2*1-π(16x^7/7)|^(0)_(-1)=

=16π-π*(16/7)=[b]96π/7[/b]

Написать комментарий

Меню

Присоединяйся в ВК