Задать свой вопрос   *более 50 000 пользователей получили ответ на «Решим всё»

Задача 43129 ...

Условие

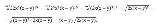
упростите выражение 10√32x^5(x-y)^15

математика ВУЗ 733

Решение

Все решения

[m]\sqrt[10]{2^5x^5(x-y)^{15}}=\sqrt{2x(x-y)^3}=|x-y|\sqrt{2x(x-y)}[/m]

[m]\sqrt[10]{2^5}=2^{\frac{5}{10}}=2^{\frac{1}{2}}=\sqrt{2}[/m]

[m]\sqrt[10]{x^5}=x^{\frac{5}{10}}=x^{\frac{1}{2}}=\sqrt{x}[/m]

[m]\sqrt[10]{(x-y)^5}=(x-y)^{\frac{15}{10}}=(x-y)^{\frac{3}{2}}=[/m]

[m]=|x-y|\sqrt{x-y}=(x-y)\sqrt{x-y}[/m]

Написать комментарий

Меню

Присоединяйся в ВК