Задать свой вопрос
*более 50 000 пользователей получили ответ на «Решим всё»
Задача 43113
Найдите разность между наибольшим и...
Условие
ultraman
2019-12-25 20:10:53
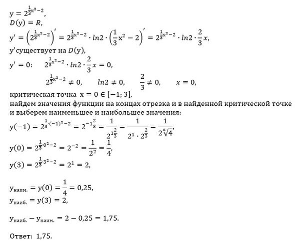
Найдите разность между наибольшим и наименьшим значениями функции.
математика 10-11 класс
1469
Решение
u821511235
2019-12-25 20:36:52
★
Написать комментарий
Меню
Решим всё
Найти задачу
Категории
Статьи
Тесты
Архив задач
Присоединяйся в ВК