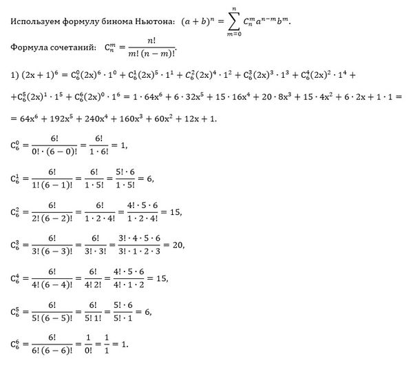
1. (2+1)^6
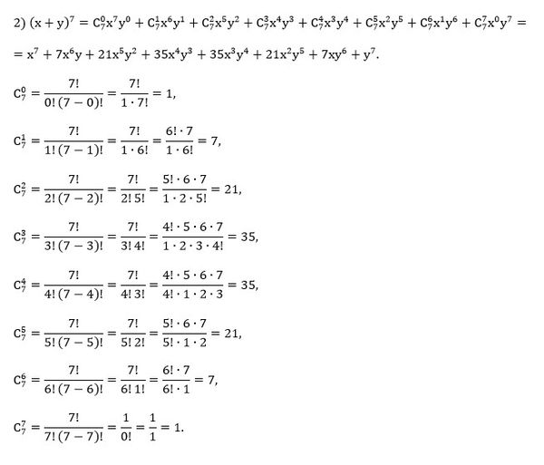
2. (x+y)^7
3. (x-y)^5
4. (2x-1)^6
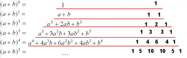
При возведении в квадрат
(a+b)^2=[red]1[/red]*a^2+[red]2[/red]*a*b+[red]1[/red]*b^2
При возведении в куб
(a+b)^3=[red]1[/red]*a^3+[red]3[/red]*a^2*b+[red]3[/red]*ab^2+[red]1[/red]*b^3
Возведение в четвертую степень:
1; 4; 6; 4; 1
Возведение в пятую степень:
1; 5; 10; 10; 5; 1
Возведение в шестую степень:
1;6;15;20;15;6;1
Возведение в седьмую степень:
1;7;21;35;35;21;7;1
Итак
1)= (2+1)^6= опечатка, нет переменной
2) (x+y)^7=1*x^7+7*x^6y+21*x^5y^2+35*x^4y^3+35*x^3y^4+21*x^2y^5+7*x^6y+1*y^7
3) (x-y)^5=1*x^5+5*x^4*(-y)^1+10x^3*(-y)^2+10x^2(-y)^3+5*x*(-y)^4+1*(-y)^5= упрощаем=[b]x^5-5x^4+10x^3y^2-10x^2y^3+5xy^4-y^5[/b]
4)(2x–1)^6=1*(2x)^6+6*(2x)^5*(-1)+15*(2x)^4*(-1)^2+20*(2x)^3*(-1)^3+
+15*(2x)^2*(-1)^4+6*(2x)^1*(-1)^5+1*(-1)^6=упрощаем=
=[b]64x^6-192x^5+240x^4-160x^3+60x^2-12x+1[/b]




