Задать свой вопрос
*более 50 000 пользователей получили ответ на «Решим всё»
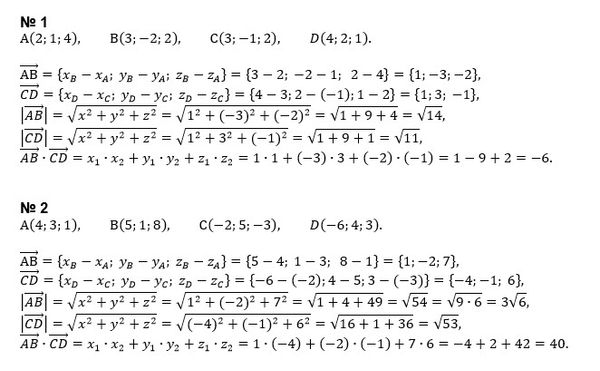
Задача 43109
Решите пожалуйста, срочно...
Условие
vk324050155
2019-12-25 19:21:41
Решите пожалуйста, срочно
математика 10-11 класс
603
Все решения
u821511235
2019-12-25 20:01:26
Написать комментарий
Меню
Решим всё
Найти задачу
Категории
Статьи
Тесты
Архив задач
Присоединяйся в ВК