Задать свой вопрос
*более 50 000 пользователей получили ответ на «Решим всё»
Задача 43022
y'+xy+y^3*e^x^2=0 решить диф.уравнение...
Условие
vk289444173
2019-12-23 16:51:37
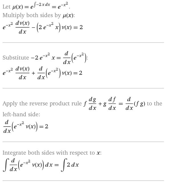
y'+xy+y^3*e^x^2=0
решить диф.уравнение
математика ВУЗ
1495
Решение
slava191
2019-12-23 17:40:34
★
Написать комментарий
Меню
Решим всё
Найти задачу
Категории
Статьи
Тесты
Архив задач
Присоединяйся в ВК