Задать свой вопрос   *более 50 000 пользователей получили ответ на «Решим всё»

Задача 43 Сколько последовательных членов...

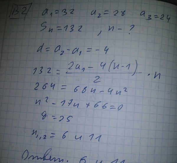
Условие

Сколько последовательных членов арифметической прогрессии 32, 28, 24, ..., начиная с первого, надо сложить, чтобы получить сумму, равную 132 ?

математика 10-11 класс 5272

Решение



Ответ: 6 и 11

Написать комментарий

Меню

Присоединяйся в ВК