С(-1; 8). Нужно найти:
1) уравнение сторон треугольника;
2) уравнение высоты АН, проведенной из вершины А на сторону ВС;
3) координаты точки Н пересечения высоты АН со стороной ВС и
длину высоты;
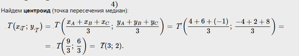
4) координаты центра тяжести треугольника АВС;
5) величину угла ABC (в градусах);
6) систему неравенств, которая определяет треугольник АВС;
7) уравнение медианы ВМ, проведенной из вершины В;
8) уравнение прямой l, проходящей через вершину С треугольника
параллельно медиане ВМ;
9) расстояние от точки А до прямой l.





