Задать свой вопрос
*более 50 000 пользователей получили ответ на «Решим всё»
Задача 42915
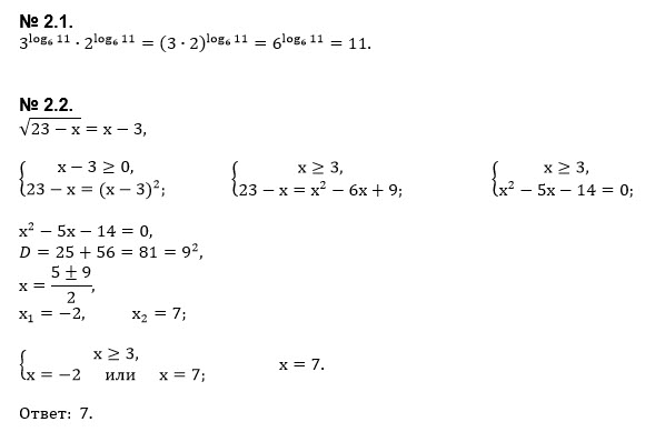
2.1. 3^(log611)*2^(log611) 2.2....
Условие
vk492803606
2019-12-20 04:09:44
2.1. 3^(log611)*2^(log611)
2.2. sqrt(23-x) = x-3
математика 10-11 класс
921
Решение
u821511235
2019-12-20 07:31:52
★
Написать комментарий
Меню
Решим всё
Найти задачу
Категории
Статьи
Тесты
Архив задач
Присоединяйся в ВК