Задать свой вопрос   *более 50 000 пользователей получили ответ на «Решим всё»

Задача 42914 3.3. Основание пирамиды - прямоугольный...

Условие

3.3. Основание пирамиды - прямоугольный треугольник с гипотенузой 4 см и острым углом 30°. Боковые грани, содержащие стороны этого угла, перпендикулярны к плоскости основания, а третья наклонена к плоскости основания под углом 60°. Найти объем пирамиды.

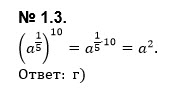
1.3. (a^(1/5))^(10)

математика 10-11 класс 4371

Решение

Написать комментарий

Меню

Присоединяйся в ВК