Задать свой вопрос
*более 50 000 пользователей получили ответ на «Решим всё»
Задача 42913
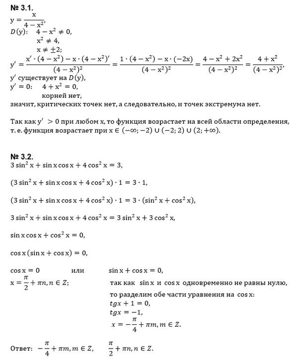
3.1 Промежутки возрастания и убывания y...
Условие
vk492803606
2019-12-20 03:58:49
3.1 Промежутки возрастания и убывания y = x/(4-x^2)
3.2. 3sin^2x+sinxcosx+4cos^2x = 3
математика 10-11 класс
774
Решение
u821511235
2019-12-20 12:12:33
★
Написать комментарий
Меню
Решим всё
Найти задачу
Категории
Статьи
Тесты
Архив задач
Присоединяйся в ВК