Задать свой вопрос
*более 50 000 пользователей получили ответ на «Решим всё»
Задача 429
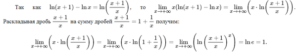
Вычислить предел lim(x->+беск)...
Условие
slava191
12.01.2014
Вычислить предел lim(x->+беск) x(ln(x+1)-lnx)
математика 10-11 класс
14260
Решение
Ответ:
1
Написать комментарий
Меню
Решим всё
Найти задачу
Категории
Статьи
Тесты
Архив задач
Присоединяйся в ВК