Задать свой вопрос   *более 50 000 пользователей получили ответ на «Решим всё»

Задача 42876 Непрерывная случайная величина X имеет...

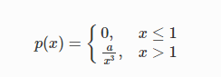
Условие

Непрерывная случайная величина X имеет следующую плотность распределения:


Найти, округляя все ответы до сотых:

Коэффициент a

Вероятность попадания случайной величины X в интервал (2,3)
0,58

Вероятность того, что при трех независимых испытаниях случайная величина X ни разу не попадет в интервал (2,3)

математика 558

О решение...

На нашем сайте такое бывает редко, но решение к данной задаче еще никто не написал.

Что Вы можете сделать?

  1. Выставите данный вопрос вновь. Перейдите на главную страницу.
  2. Найдите похожую задачу. Используйте поиск.

Написать комментарий

Меню

Присоединяйся в ВК