Вариант 1
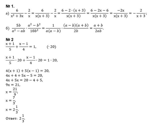
1°. Выполните действия:
а) 6/(x^2 + 3x) - 2/x;
б) (5b)/(a^2 - ab) - (a^2 - b^2)/(10b^2).
2°. Решите уравнение (x + 1)/5 + (x - 1)/4 = 1.
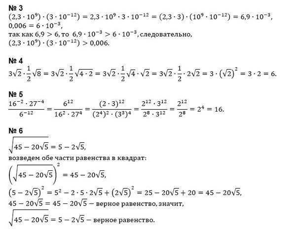
3°. Сравните (2.3 * 10^9)(3 * 10^-12) и 0,006.
4°. Упростите выражение 3√2 – 1/2√8.
5. Найдите значение выражения (16^-2 * 27^-4)/(6^-12).
6. Докажите, что верно равенство √45 − 20/√5 = 5 − 2√5.
7. Некоторую сумму денег вносят в банк на вклад с годовалым доходом 6%. Если бы банк выплачивал 4% годовых, то для получения такого же дохода потребовалось бы на 600 р. больше. Какую сумму вносят в банк?

