x ≠ 2
При x ≠ 2 данная функция непрерывна как частное непрерывных функций.
Исследуем на непрерывность точку х=2
Находим [red]предел слева[/red]:
lim_(x →2-0)f(x)=cos(2-0)/(2-0-2)=+ ∞ , так как
cos2 < 0 делится на очень маленькое отрицательное в знаменателе.
Получим очень большое отрицательное (+∞ )
Находим[red] предел справа[/red]:
lim_(x →2+0)f(x)=cos(2+0)/(2+0-2)=+ ∞
Функция имеет [i]бесконечный[/i] предел в точке ( хотя бы один или слева или справа, а здесь вообще оба)
Значит х=2 - точка разрыва [i]второго [/i]рода
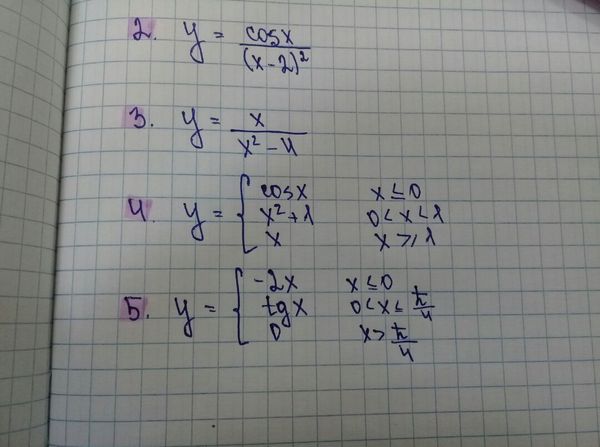
4.
На (- ∞ ;0) функция непрерывна, так как y=cosx непрерывна на (- ∞ ;+ ∞ )
На (0;1) функция непрерывна, так как y=x^2 +1 непрерывна на (- ∞ ;+ ∞ )
На (1;+ ∞ ) функция непрерывна, так как y=x непрерывна на (- ∞ ;+ ∞ )
Значит, надо выяснить непрерывность функции в точке х=0 и х=1
Находим [red]предел слева[/red]:
lim_(x → -0)f(x)=lim_(x → -0)cosx=cos0=1
Находим [red]предел справа:[/red]
lim_(x → +0)f(x)=lim_(x → +0)(x^2+1)=(+0)^2+1
предел слева ≠ пределу справа
Функция имеет скачок ([i]конечный[/i]) в точке x=0
х=0 - [i]точка разрыва первого рода[/i]
x=1
Находим [green]предел слева:[/green]
lim_(x →1 -0)f(x)=lim_(x → 1-0)(x^2+1)=(1-0)^2+1=2
Находим [green]предел справа[/green]:
lim_(x →1 +0)f(x)=lim_(x → 1+0)x=1
предел слева ≠ пределу справа
Функция имеет скачок ([i]конечный[/i]) в точке x=1
х=1 - [i]точка разрыва первого рода[/i]
