Задать свой вопрос   *более 50 000 пользователей получили ответ на «Решим всё»

Задача 42861 Решить пределы срочно...

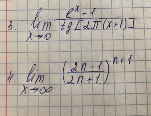
Условие

Решить пределы срочно пожалуйста!!!!!!!!!!!!

математика ВУЗ 684

Решение

3.
tg(2π(x+1))=tg(2πx+2π)=tg2πx [i]по формулам приведения[/i]

[m]=\lim_{x \to 0}\frac{e^{x}-1}{tg2\pi x}=\lim_{x \to 0}\frac{e^{x}-1}{x}\cdot \frac{x}{tg2\pi x}=\lim_{x \to 0}\frac{e^{x}-1}{x}\cdot \frac{2\pi x}{tg2\pi x}\cdot \frac{1}{2\pi }=[/m]

[m]= \frac{1}{2\pi }\lim_{x \to 0}\frac{e^{x}-1}{x}\cdot\lim_{x \to 0} \frac{2\pi x}{tg2\pi x}= \frac{1}{2\pi }\cdot1\cdot1= \frac{1}{2\pi }[/m]


4.
Так как
[m](\frac{2n+1}{2n-1})^{n+1}=(\frac{2n+1}{2n-1})^{n}\cdot (\frac{2n+1}{2n-1})[/m]

и

[m]\frac{2n+1}{2n-1}=\frac{\frac{2n+1}{2n}}{\frac{2n-1}{2n}}=\frac{1+\frac{1}{2n}}{1-\frac{1}{2n}}[/m]

то
[m]\lim_{n \to \infty }(\frac{2n+1}{2n-1})^{n+1}=\lim_{n \to \infty }(\frac{2n+1}{2n-1})^{n}\cdot \lim_{n \to \infty }(\frac{2n+1}{2n-1})=[/m]

[m]=\lim_{n \to \infty }(\frac{2n+1}{2n-1})^{n}\cdot1=\lim_{n \to \infty }(\frac{2n+1}{2n-1})^{n}=[/m]


[m]=\lim_{n \to \infty }(\frac{1+\frac{1}{2n}}{1-\frac{1}{2n}})^{n}=\frac{\lim_{n \to \infty }(1+\frac{1}{2n})^{n}}{\lim_{n \to \infty }(1-\frac{1}{2n})^{n}}=\frac{\lim_{n \to \infty }((1+\frac{1}{2n})^{2n})^{\frac{1}{2}}}{\lim_{n \to \infty }((1-\frac{1}{2n})^{-2n})^{-\frac{1}{2}}}=\frac{e^{\frac{1}{2}}}{e^{-\frac{1}{2}}}=e[/m]





Написать комментарий

Меню

Присоединяйся в ВК