Задать свой вопрос
*более 50 000 пользователей получили ответ на «Решим всё»
Задача 42847
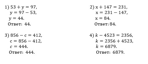
53 + у=97 х+147=231 856-с=412...
Условие
vk545151663
2019-12-18 15:55:40
53 + у=97 х+147=231 856-с=412 k-4523=2356
математика 1-5 класс
2040
Все решения
u821511235
2019-12-19 00:31:39
vk309993209
2019-12-18 17:21:30
y=44. x=84. c=444. k=6879
Написать комментарий
Меню
Решим всё
Найти задачу
Категории
Статьи
Тесты
Архив задач
Присоединяйся в ВК