Задать свой вопрос   *более 50 000 пользователей получили ответ на «Решим всё»

Задача 42843 ...

Условие

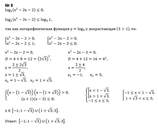
8. Решите неравенство: log₃ (x² - 2x - 2) ≤ 0.

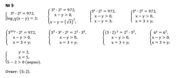
9. Решите систему уравнений:
{ 3ˣ · 2ʸ = 972,
{ log(√3) (x - y) = 2.

математика 10-11 класс 502

Все решения

Написать комментарий

Меню

Присоединяйся в ВК