Вариант 1
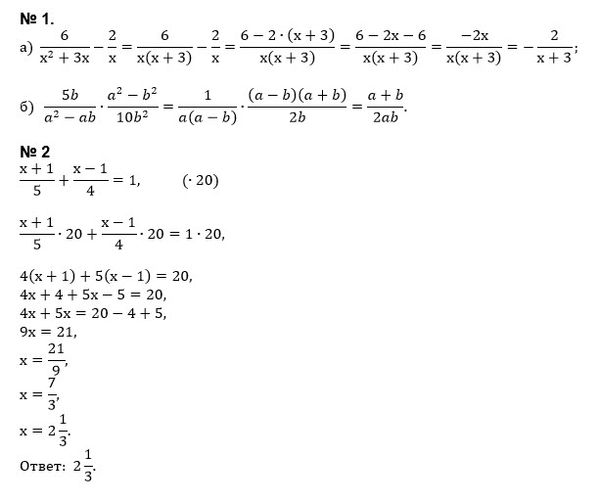
1°. Выполните действия: ...
2°. Решите уравнение (x+1)/5 - (x-1)/4 = 1.
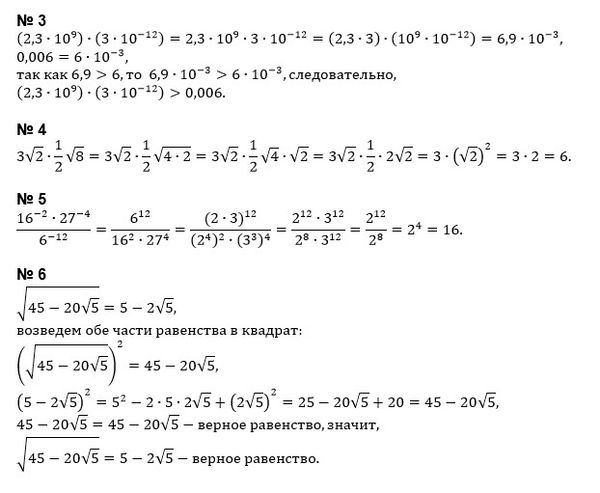
3°. Сравните (2,3 * 10^9) (3 * 10^-12) и 0,006.
4°. Упростите выражение 3√2 - (1/2) √8.
5. Найдите значение выражения (16^-2 - 27^-4)/(6^-12).
6. Докажите, что верно равенство: sqrt(45-20/√5) = (5-2 √5).
7. Некоторую сумму денег вносят в банк на вклад с годовым доходом 6%. Если бы банк выплачивал 4% годовых, то для получения такого же дохода потребовалось бы на 600 р. больше. Какую сумму вносят в банк?

