Задать свой вопрос
*более 50 000 пользователей получили ответ на «Решим всё»
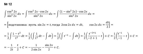
Задача 42813
Найдите интеграл от тригонометрической...
Условие
dmitryivan745
2019-12-17 21:40:44
Найдите интеграл от тригонометрической функции номер 12
математика ВУЗ
437
Все решения
u821511235
2019-12-19 01:37:31
Написать комментарий
Меню
Решим всё
Найти задачу
Категории
Статьи
Тесты
Архив задач
Присоединяйся в ВК