Задать свой вопрос
*более 50 000 пользователей получили ответ на «Решим всё»
Задача 428
Найти предел...
Условие
slava191
12.01.2014
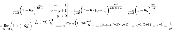
Найти предел lim(x->1)(7-6x)^(x/(3x-3)).
математика 10-11 класс
6090
Решение
Ответ:
1/e^2
Написать комментарий
Меню
Решим всё
Найти задачу
Категории
Статьи
Тесты
Архив задач
Присоединяйся в ВК