Задать свой вопрос
*более 50 000 пользователей получили ответ на «Решим всё»
Задача 42708
Помогите решить пожалуйста подробно...
Условие
vk280770680
2019-12-15 21:21:49
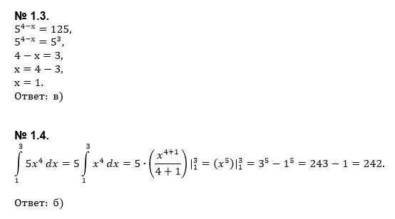
Помогите решить пожалуйста подробно номера 1.3 и 1.4
предмет не задан
509
Решение
u821511235
2019-12-19 21:23:26
★
Написать комментарий
Меню
Решим всё
Найти задачу
Категории
Статьи
Тесты
Архив задач
Присоединяйся в ВК