Задать свой вопрос
*более 50 000 пользователей получили ответ на «Решим всё»
Задача 42704
Помогите решить пожалуйста подробно...
Условие
vk280770680
2019-12-15 21:05:08
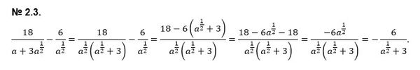
Помогите решить пожалуйста подробно номера 2.3 и 2.4
математика
478
Решение
u821511235
2019-12-20 22:44:01
★
Написать комментарий
Меню
Решим всё
Найти задачу
Категории
Статьи
Тесты
Архив задач
Присоединяйся в ВК