Задать свой вопрос
*более 50 000 пользователей получили ответ на «Решим всё»
Задача 42703
Помогите решить пожалуйста подробно...
Условие
vk280770680
2019-12-15 21:04:16
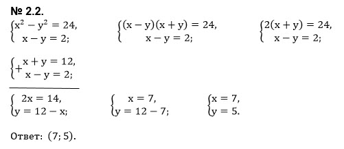
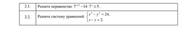
Помогите решить пожалуйста подробно номера 2.1 и 2.2
математика
569
Решение
u821511235
2019-12-21 00:25:05
★
Написать комментарий
Меню
Решим всё
Найти задачу
Категории
Статьи
Тесты
Архив задач
Присоединяйся в ВК