Задать свой вопрос
*более 50 000 пользователей получили ответ на «Решим всё»
Задача 42696
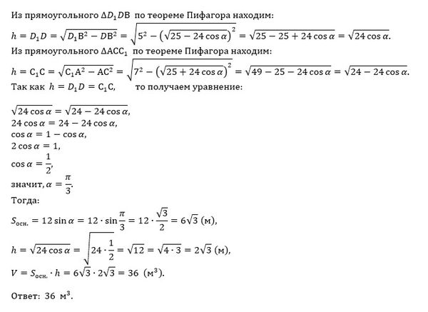
Помогите решить пожалуйста подробно...
Условие
vk492803606
2019-12-15 20:46:08
Помогите решить пожалуйста подробно номер 3.3
математика
507
Решение
u821511235
2019-12-19 21:14:08
★
Написать комментарий
Меню
Решим всё
Найти задачу
Категории
Статьи
Тесты
Архив задач
Присоединяйся в ВК