Задать свой вопрос
*более 50 000 пользователей получили ответ на «Решим всё»
Задача 42695
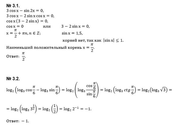
Помогите решить пожалуйста подробно...
Условие
vk492803606
2019-12-15 20:45:30
Помогите решить пожалуйста подробно номера 3.1 и 3.2
математика
574
Решение
u821511235
2019-12-19 20:15:17
★
Написать комментарий
Меню
Решим всё
Найти задачу
Категории
Статьи
Тесты
Архив задач
Присоединяйся в ВК