Задать свой вопрос
*более 50 000 пользователей получили ответ на «Решим всё»
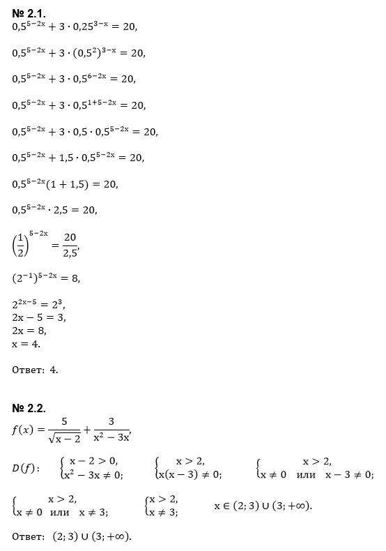
Задача 42693
Помогите решить пожалуйста подробно...
Условие
vk492803606
2019-12-15 20:39:53
Помогите решить пожалуйста подробно номер 2.1 и 2.2
математика
570
Решение
u821511235
2019-12-19 19:22:40
★
Написать комментарий
Меню
Решим всё
Найти задачу
Категории
Статьи
Тесты
Архив задач
Присоединяйся в ВК