Задать свой вопрос
*более 50 000 пользователей получили ответ на «Решим всё»
Задача 42689
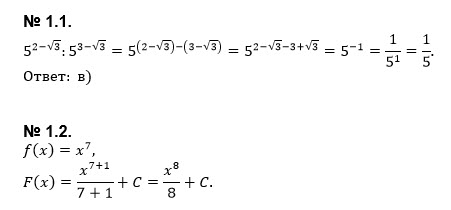
Помогите решить пожалуйста подробно 1.2...
Условие
vk492803606
2019-12-15 20:27:12
Помогите решить пожалуйста подробно 1.2 и 1.1
математика
512
Решение
u821511235
2019-12-19 18:29:40
★
Написать комментарий
Меню
Решим всё
Найти задачу
Категории
Статьи
Тесты
Архив задач
Присоединяйся в ВК